Menu

Need Help Matlab Code Problem Please Also Explain Step Calculate Integral Numerically Effi Q43880328

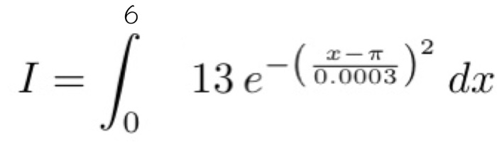
I need help with the MATLAB code of this problem, and pleasealso explain what you do in each step.
Calculate the integral numerically in an efficient way with thethree methods: integral, trapezoidal rule and Simpson’s rule, witha truncation error of no more than 5*10^-9. Between the trapezoidalrule and Simpson’s rule, which method is the best?

- TT I= 1 = | 13e-(promo) dia 13 e 0.0003) dr– TT I= 1 = | 13e-(promo) dia 13 e 0.0003) dr Show transcribed image text – TT I= 1 = | 13e-(promo) dia 13 e 0.0003) dr

Expert Answer


Answer to I need help with the MATLAB code of this problem, and please also explain what you do in each step.Calculate the integra…

OR